Hormone metabolites predict urinary epithelial cell counts during a menstrual cycle in healthy controls

Liou N1, Kelpie A2, Chieng C2, Kong Q3, Khasriya R3, Horsley H2

Research Type

Pure and Applied Science / Translational

Abstract Category

Female Lower Urinary Tract Symptoms (LUTS) / Voiding Dysfunction

Abstract 39
Open Discussion ePosters
Scientific Open Discussion Session 4
Thursday 8th September 2022
10:45 - 10:50 (ePoster Station 3)
Exhibition Hall
Female Physiology Infection, Urinary Tract
1. Bladder Infection and Immunity Group, Institute for Women's Health, University College London, 2. Bladder Infection and Immunity Group, Department of Renal Medicine, University College London, 3. Bladder Infection and Immunity Group, Eastman Dental Institute, University College London
In-Person
Presenter
Links

Poster

Abstract

Hypothesis / aims of study
Premenopausal women are at increased risk of urinary tract infections (UTI) and yet up to 20% of women with classical UTI symptoms have infections which are missed using routine diagnostic tests [1]. This is in part attributed to epithelial cells found in urine samples as these samples are deemed to be contaminated by skin flora, an issue thought to be more common in women, and hence the mid stream urine as the 'gold standard' in urine collection [2]. Therefore while diagnostic thresholds have been set to identify cellular markers of infection, namely white blood cells, little is known about the physiological effects of reproductive hormone levels on the types of cells found in the urine. Our aim was to longitudinally assess urinary cells over a menstrual cycle. We hypothesised that the urinary hormonal metabolites of oestrogen and progesterone predict urinary cell counts in healthy premenopausal controls.
Study design, materials and methods
This was a longitudinal study of healthy premenopausal women over the course of a menstrual cycle. Participants provided a natural, full volume void thrice weekly at ± 2 day intervals over a minimum of six weeks. Samples were classified into four phases of the menstrual cycle: perimenstrual, follicular, periovulatory, and luteal. White blood cells (WBC), red blood cells (RBC), and epithelial cells (EPC) were manually enumerated using brightfield microscopy. As urinary hormone metabolites are highly correlated with serum levels [3], enzyme immunoassay (ELISA) was used to measure the urinary hormone metabolites estrone-3-glucuronide (E1G) and pregnanediol glucuronide (PDG). Immunocytochemistry staining for uroplakin 3 (UP3), a marker of terminal urothelial differentiation, was used to identify EPC originating from the urinary tract. Epi-fluorescence microscopy was used to enumerate UP3 positive cells. Logarithmic transformation was applied to non-parametric results, and linear regression performed using R for statistical computation.
Results
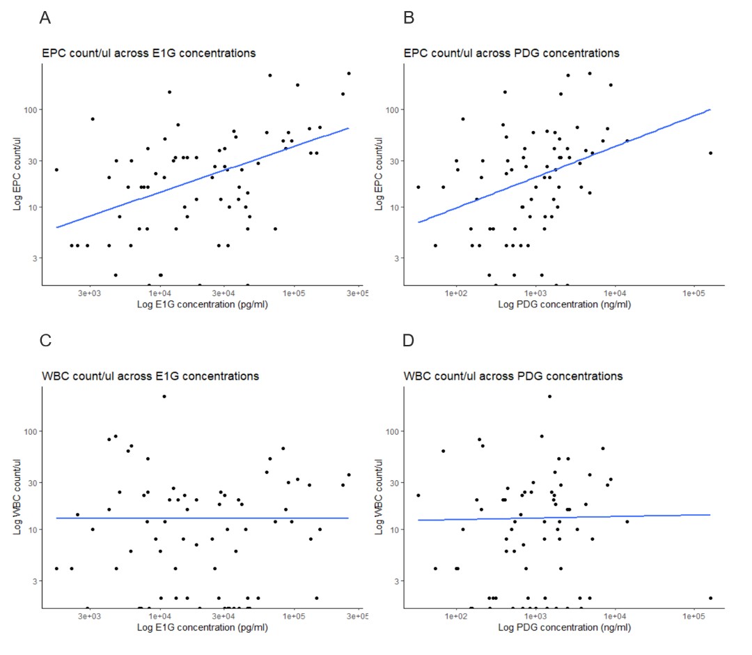
Six women were recruited for the duration of the study and 120 samples collected in total. The average age was 29 years ± SD 4.2 years and average BMI 26.3 ± SD 7.7. Four participants did not use hormonal contraception and had regular cycles with an average 28 day cycle ± SD 5 days. One participant was amenorrhoeic under investigation for polycystic ovarian syndrome while another participant was on the combined oral contraceptive pill. Microscopy showed a median of 11 WCC/µl (IQR  4-24), 0 RBC/µl  (IQR 0-6), and 22 EPC/µl (IQR 8-40). ELISA revealed a median E1G concentration of 19,215 pg/ml (IQR 8098-45,063) and PDG concentration of 969.7 ng/ml (IQR 417.6-1999.0 ). EPC count/µl had a significant linear relationship with E1G (adjusted R2 = .23, F-statistic = 21.6, p value < .00001) and PDG (adjusted R2 = .14, F-statistic 12.4, p value < .0008). Contrastingly, WCC count/µl was not linearly associated with either metabolite (E1G adjusted R2 = -.017, F-statistic = 1.6, p value = 0.99 and PDG adjusted R2 = -.017, F-statistic = .02, p value = .88). RBC count/µl was also not linearly associated with either WBC or EPC count/µl (adjusted R2 = -.05, F-statistic = 0.2, p value = 0.84). The proportion of UP3 positive cells to total EPC cells was 86% (SD 74.5-96.8%).
Interpretation of results
Our longitudinal study of healthy premenopausal women demonstrates that E1G and PDG were predictive of EPC count/µl but not WCC count/µl. RBCs in voided urine originate from the reproductive tract and can be considered a surrogate marker of contamination; despite this, RBC count/µl was not predictive of WBC or EPC count/µl. Furthermore, EPC in voided urine were demonstrated to be urothelial in origin and should therefore not be disregarded as evidence of a contaminated urine sample.
Concluding message
We have shown, for the first time, that epithelial cells found in full void urine samples do not indicate contamination. Instead, in healthy women, EPC appear to be shed in response to hormonal fluctuations. Conversely, WBC populations found in the urine appear to not have a relationship with urinary hormones but may fluctuate in response to transient sub-clinical infection. These data could be used to inform the design of novel and more fit-for-purpose diagnostic tests for urinary tract infection (UTI).
Figure 1 There is a linear relationship between epithelial cell counts and estrone-3-glucuronide (A) and pregnanediol glucuronide (B) whereby higher hormone levels predicted increased EPC counts. In contrast, this was not seen in white cell counts (C, D)
References
  1. Foxman B, Brown P. Epidemiology of urinary tract infections: transmission and risk factors, incidence, and costs. Infect Dis Clin North Am. 2003 Jun;17(2):227-41. doi: 10.1016/s0891-5520(03)00005-9. PMID: 12848468.
  2. Walter FG, Gibly RL, Knopp RK, Roe DJ. Squamous cells as predictors of bacterial contamination in urine samples. Ann Emerg Med. 1998 Apr;31(4):455-8. doi: 10.1016/s0196-0644(98)70253-7. PMID: 9546013.
  3. Roos J, Johnson S, Weddell S, Godehardt E, Schiffner J, Freundl G, Gnoth C. Monitoring the menstrual cycle: Comparison of urinary and serum reproductive hormones referenced to true ovulation. Eur J Contracept Reprod Health Care. 2015;20(6):438-50. doi: 10.3109/13625187.2015.1048331. Epub 2015 May 27. PMID: 26018113.
Disclosures
Funding Funding was provided via a philanthropic research donation. Clinical Trial No Subjects Human Ethics Committee Health Research Authority, UK Helsinki Yes
17/03/2026 05:12:47